输入一棵二叉搜索树,将该二叉搜索树转换成一个排序的循环双向链表。要求不能创建任何新的节点,只能调整树中节点指针的指向。
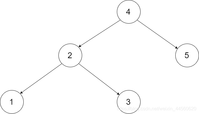
为了让您更好地理解问题,以下面的二叉搜索树为例:

我们希望将这个二叉搜索树转化为双向循环链表。链表中的每个节点都有一个前驱和后继指针。对于双向循环链表,第一个节点的前驱是最后一个节点,最后一个节点的后继是第一个节点。
下图展示了上面的二叉搜索树转化成的链表。“head” 表示指向链表中有最小元素的节点。

特别地,我们希望可以就地完成转换操作。当转化完成以后,树中节点的左指针需要指向前驱,树中节点的右指针需要指向后继。还需要返回链表中的第一个节点的指针。
解题思路
- 因为题目中是一颗搜索二叉树,因此使用中序遍历可以实现排序
- 在中序遍历中,始终维护一个指向前一个遍历节点的指针,并且改变这两个节点之间的指向
代码
/*
// Definition for a Node.
class Node {public int val;public Node left;public Node right;public Node() {}public Node(int _val) {val = _val;}public Node(int _val,Node _left,Node _right) {val = _val;left = _left;right = _right;}
};
*/
class Solution {Node pre,s;public Node treeToDoublyList(Node root) {if(root==null) return root;
toDoublyList(root);pre.right=s;s.left=pre;return s;}public void toDoublyList(Node root) {if (root==null) return;toDoublyList(root.left);if(pre==null){pre=root;s=root;}else {root.left=pre;pre.right=root;pre=root;}toDoublyList(root.right);}
}