1. 计算机神经网络与神经元
要理解神经网络中的梯度下降算法,首先我们必须清楚神经元的定义。如下图所示,每一个神经元可以由关系式y=f(∑i=1nwixi+b)y = f(\sum_{i=1}^nw_ix_i + b)y=f(∑i=1nwixi+b)来描述,其中X=[x1,x2,...,xn]X = [x_1,x_2,...,x_n]X=[x1,x2,...,xn]就是N维的输入信号,W=[w1,w2,...,wn]W =[w_1,w_2,...,w_n]W=[w1,w2,...,wn]是与输入向量一一对应的n维权重,bbb bias 偏斜,yyy对应该神经元的输出,fff函数称为激励函数,例如sigmoid函数,softmax函数等等。
那么一个神经网络是如何进行学习的呢?以一个神经元为例,在一组输入信号XXX经过该神经元后,我们得到了一个输出信号称之为yetoiley_{etoile}yetoile,而训练集中给出的实际输出例如为yyy,那么显而易见地,想要提高正确率,即正确地学习对于一组输入应该获得的输出yyy,一个神经元所做的计算,就是一个最优化(最小化)问题,通过改变权重WWW来最小化损失(误差) l(y,yetoile)l(y,y_{etoile})l(y,yetoile)。当然,这个误差的定义可以根据问题的不同有所区别,例如简单的向量L1,L2距离,MSE均方误差。对于整个训练集而言,当然不止包含了一组输入输出。因此整体而言,误差Loss Function L(W)=1N∑t=1Kl(yt,ytetoile)L(W) = \frac{1} {N}\sum_{t=1}^{K}l(y_t,y_{t_{etoile}})L(W)=N1∑t=1Kl(yt,ytetoile) 是所有K组训练数据误差的总和的平均数。
我们已经知道了,Loss Function损失函数与神经元的权重息息相关,神经元要做的计算,就是找到能最小化该损失函数的权重WWW。优化的算法纷繁多样,使用的较为广泛的就是梯度下降gradientdescentgradient\space\space descentgradient descent 及其衍生算法SGD随机梯度下降,BGD批量梯度下降。

2. 梯度下降算法 gradientdescentgradient\space\space descentgradient descent
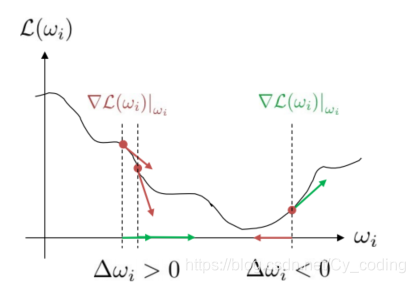
梯度下降算法,一言以蔽之,就是沿着梯度下降的方向不断迭代,最终逼近函数最小值的优化方法。如下图所示,在最小化Loss Function损失函数的过程中,权重总是沿着损失函数梯度下降的方向变化,即wi=wi−λ∇L∣wiw_i = w_i - \lambda\nabla L|_{w_i}wi=wi−λ∇L∣wi,其中λ\lambdaλ为学习率。当损失函数的梯度接近0时,可以终止迭代。大致理解了梯度下降算法的原理,接下我们看看在优化神经元的过程中,梯度下降算法是如何实现的。

3. backpropagation 反向传播算法
通过上一个部分,我们理解了使权重沿着Loss的梯度下降方向迭代,可以最终最小化损失函数。这个过程中,权重的更新wi=wi−λ∇L∣wiw_i = w_i - \lambda\nabla L|_{w_i}wi=wi−λ∇L∣wi取决于损失函数的梯度。计算该梯度的最常用方法,就是反向传播算法。反向传播算法其实际原理类似于复合函数导数。我们通过链式法则,可以将所需求的梯度分割成子变量的梯度的乘积。
以单个神经元的神经网络的优化为例:
yetoile=f(∑i=1nwixi+b)y_{etoile} = f(\sum_{i=1}^nw_ix_i + b)yetoile=f(∑i=1nwixi+b)
ei=wixie_i = w_ix_iei=wixi,
v=∑iei+θv=\sum_ie_i+ \thetav=∑iei+θ
默认使用sigmoid激励函数:
yetoile=σ(v)y_{etoile} = \sigma(v)\space\spaceyetoile=σ(v) 经过激励函数后的输出
σ(v)=11+e−v\sigma(v) = \frac{1}{1+e^{-v}}\space\spaceσ(v)=1+e−v1 sigmoid函数
ϵ=yetoile−y\epsilon = y_{etoile} - y\space\spaceϵ=yetoile−y yetoiley_{etoile}yetoile与实际值yyy的误差
L=ϵ2L = \epsilon^2L=ϵ2
使用链式法则我们不难得到 :
∂L∂wi=∂L∂ei∂ei∂wiwhere∂ei∂wi=xi\frac{\partial L}{\partial w_i} = \frac{\partial L}{\partial e_i}\frac{\partial e_i}{\partial w_i} \space\space where \space\frac{\partial e_i}{\partial w_i} = x_i ∂wi∂L=∂ei∂L∂wi∂ei where ∂wi∂ei=xi
∂L∂ei=∂L∂v∂v∂eiwhere∂v∂ei=1\frac{\partial L}{\partial e_i} = \frac{\partial L}{\partial v}\frac{\partial v}{\partial e_i} \space\space where \space\frac{\partial v}{\partial e_i} =1 ∂ei∂L=∂v∂L∂ei∂v where ∂ei∂v=1
∂L∂v=∂L∂yetoile∂yetoile∂vwhere∂yetoile∂v=σ′(v)=e−v(1+e−v)2\frac{\partial L}{\partial v} = \frac{\partial L}{\partial y_{etoile}}\frac{\partial y_{etoile}}{\partial v} \space\space where \space\frac{\partial y_{etoile}}{\partial v} =\sigma'(v) = \frac{e^{-v}}{(1+e^{-v})^2}∂v∂L=∂yetoile∂L∂v∂yetoile where ∂v∂yetoile=σ′(v)=(1+e−v)2e−v
∂L∂yetoile=∂L∂ϵ∂ϵ∂yetoilewhere∂ϵ∂yetoile=1\frac{\partial L}{\partial y_{etoile}} = \frac{\partial L}{\partial \epsilon}\frac{\partial \epsilon}{\partial y_{etoile}} \space\space where \space\frac{\partial \epsilon}{\partial y_{etoile}} =1 ∂yetoile∂L=∂ϵ∂L∂yetoile∂ϵ where ∂yetoile∂ϵ=1
最后,∂L∂ϵ=2ϵ\frac{\partial L}{\partial \epsilon} = 2\epsilon∂ϵ∂L=2ϵ
通过链式法则,我们将复杂的复合函数的梯度拆解为一个个基础的梯度,他们的乘积就是我们需要的损失函数Loss Function关于权重的梯度:
∇L∣wi=2(ϵ)σ′(v)xi\nabla L|_{w_i} = 2(\epsilon)\sigma'(v)x_i∇L∣wi=2(ϵ)σ′(v)xi
首先对于每个训练集中的数据XXX,以及对应的当前权重WWW,我们首先通过正向传播,计算出各个关键值并储存在内存中。

如下所示,通过正向传播以及各个变量之间的数值关系,我们可以很简单地计算出每次迭代各个变量对应的值。

接着就是反向传播计算梯度的过程了,如下图所示,例如我们有∂L∂ϵ=2ϵ=−1.37∗2=−2.75\frac{\partial L}{\partial \epsilon} = 2\epsilon = -1.37 * 2 = -2.75∂ϵ∂L=2ϵ=−1.37∗2=−2.75
又有
∂ϵ∂yetoile=1\frac{\partial \epsilon}{\partial y_{etoile}} =1∂yetoile∂ϵ=1
因此
∂L∂yetoile=∂L∂ϵ∂ϵ∂yetoile=−2.75\frac{\partial L}{\partial y_{etoile}} = \frac{\partial L}{\partial \epsilon}\frac{\partial \epsilon}{\partial y_{etoile}} = -2.75 ∂yetoile∂L=∂ϵ∂L∂yetoile∂ϵ=−2.75
…
依此类推,我们不难通过链式法则,一步一步反向传播,直到计算出我们最终需求的梯度值: ∂L∂wi\frac{\partial L}{\partial w_i}∂wi∂L
理解了梯度下降算法在训练神经元过程中的应用,以及反向传播算法如何计算出复合梯度的过程,接下来分享一个Tensorflow模块中非常好用的计算梯度的类,这大大简化了我们计算反向传播的过程。
4. Tensorflow GradientTape
用几个简单的例子介绍一下功能强大的GradientTape类,可以帮助我们在深度学习中简便地计算函数的梯度。
import tensorflow as tf
with tf.GradientTape(watch_accessed_variables=True) as t:x = tf.Variable(3.0)y = x ** 2# t.watch(x)dy_dx = t.gradient(y,x)print(type(dy_dx))print(dy_dx.numpy())print(dy_dx)
上述代码计算了 y=x2y = x^2y=x2这个函数在x=x=x=
输出结果如下 :

Tensorflow库中的GradientTape类使用简单,其中输入输出都推荐定义为张量tensor的形式,即可训练的变量形式。GradientTape类中的watch_accessed_variables参数决定了类是否会自动观测保存可训练的变量,当这个参数值为False时,我们可以使用 t.watch()方法指定类观察的具体变量。
如下例子,调用t.gradient()方法时,变量也可以是高维的tensor。
w = tf.Variable(tf.random.normal((3,2)),name='w')
b = tf.Variable(tf.zeros(2,dtype=tf.float32),name='b')
x = [[1.,2.,3.]]with tf.GradientTape() as tape:y = x @ w + bloss = tf.reduce_mean(y**2)# 可以用张量的形式同时计算多个变量tensor对应的梯度[dl_dw, dl_db] = tape.gradient(loss,[w,b])print(dl_dw)print(dl_db)
输出结果如下:

以我们在上一部分做的反向传播算法为例 :
with tf.GradientTape() as tape:W = tf.Variable([[-1.,-1.5]])X = tf.Variable([[-3.],[2.]])thelta = tf.Variable(0.5,dtype=tf.float32)y_etoile = tf.sigmoid(W @ X + thelta)y = tf.Variable(2,dtype=tf.float32)loss = (y_etoile - y) ** 2(dl_dx, dl_dw, dl_dthe) = tape.gradient(loss,[X,W,thelta])print(dl_dw)
输出结果如下:
可以看到,我们使用tensorflow计算出的梯度∂L∂wi\frac{\partial L}{\partial w_i}∂wi∂L与使用反向传播算法的计算结果是一致的。
