树的概念
树的概念
树是一种非线性的数据结构,它是由n(n>=0)个有限结点组成一个具有层次关系的集合。把它叫做树是因 为它看起来像一棵倒挂的树,也就是说它是根朝上,而叶朝下的。它具有以下的特点:每个结点有零个或多 个子结点;没有父结点的结点称为根结点;每一个非根结点有且只有一个父结点;除了根结点外,每个子结 点可以分为多个不相交的子树

一些基本概念
- 节点的度:一个节点含有的子树的个数称为该节点的度;
- 叶节点或终端节点:度为0的节点称为叶节点;
- 非终端节点或分支节点:度不为0的节点;
- 双亲节点或父节点:若一个节点含有子节点,则这个节点称为其子节点的父节点;
- 孩子节点或子节点:一个节点含有的子树的根节点称为该节点的子节点;
- 兄弟节点:具有相同父节点的节点互称为兄弟节点;
- 树的度:一棵树中,最大的节点的度称为树的度;
- 树的高度或深度:树中节点的最大层次;
- 堂兄弟节点:双亲在同一层的节点互为堂兄弟;
- 节点的祖先:从根到该节点所经分支上的所有节点;
- 子孙:以某节点为根的子树中任一节点都称为该节点的子孙。


二叉树概念
概念
一棵二叉树是结点的一个有限集合,该集合或者为空,或者是由一个根节点加上两棵别称为左子树和右子树 的二叉树组成。
二叉树的特点:
- 每个结点最多有两棵子树,即二叉树不存在度大于2的结点。
- 二叉树的子树有左右之分,其子树的次序不能颠倒。
特殊的二叉树
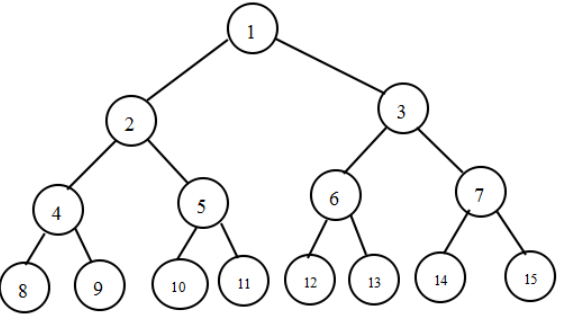
- 满二叉树:一个二叉树,如果每一个层的结点数都达到最大值,则这个二叉树就是满二叉树。也就是 说,如果一个二叉树的层数为K,且结点总数是(2^k) -1 ,则它就是满二叉树。

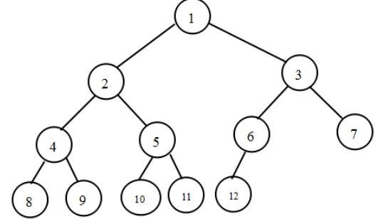
- 完全二叉树:完全二叉树是效率很高的数据结构,完全二叉树是由满二叉树而引出来的。对于深度为K 的,有n个结点的二叉树,当且仅当其每一个结点都与深度为K的满二叉树中编号从1至n的结点一一对 应时称之为完全二叉树。 要注意的是满二叉树是一种特殊的完全二叉树。

二叉树的性质
- 非空二叉树上叶子结点数等于度为 2 的结点数加 1 。
- 非空二叉树上第 K 层上至多有2^(k-1) 个结点(K >= 1)。
- 高度为 H 的二叉树至多有 2^H-1个结点。
- 对完全二叉树按从上到下、从左到右的顺序依次编号 1 , 2 , … , N , 则有以下的关系:
- 当 i > 1 时,结点 i 的双亲结点编号为 ,即当 i 为偶数时,且双亲结点的编号为 i / 2 ,它是双亲结点的左孩子;当 i 为奇数时,其双亲结点的编号为 ( i -1) / 2 ,它是双亲结点的右孩子。
- 当 2i <= N ,结点 i 的左孩子编号为 2i ,否则无左孩子。
- 当 2i + 1 <= N 时,结点 i 的右边的孩子为 2i + 1 ,否则无右边的孩子。
- 结点 i 所在的层次(深度)为
。 - 具有N 个(N>0)结点的完全二叉树的高度为
或者 
二叉树的存储结构
顺序存储
-
二叉树的顺序存储结构就是用一组地址连续的存储单元依次自上而下、自左向右存储完全二叉树
二叉树上的结点元素,即将完全二叉树上编号为 i 的结点元素存储在某个数组下标为 i -1 的分量中,
然后通过一些方法确定结点在逻辑上的父子和兄弟关系。 -
依据二叉树的性质,“ 完全二叉树 ” 和“ 满二叉树 " 采用顺序存储比较合适,树中结点的序号可以
唯一地反映出结点之间的逻辑关系,这样既能最大可能地节省存储空间,又可以利用数组元素的下标值确定结点在二叉树中的位置,以及结点之间的关系。 -
对于一般的二叉树,为了让数组下标能反映二叉树中结点之间的逻辑关系,只能添加一些并不存在的空结点让其每个结点与完全二叉树上的结点相对照,再存储到一维数组的相应分量中。然而,在最坏的情况下,一个高度为 H 且只有 H 个结点的单支树却需要占据接近 个存储单元。
-
二叉树的顺序存储如下图所示(其中 NO表示并不存在的空结点)

链式存储
- 由于顺序存储对空间利用率较低,因此,一般二叉树都采用链式存储结构。链式结构是指用一个链表来存储一棵二叉树,二叉树中每一个结点用链表的一个链结点来存储。在二叉树中,结点结构通常包括“ 若干数据域 ”及 “ 若干指针域 ”。二叉链表至少包含 3 个域:数据域 data 、左指针域 lchild 、右指针域 rchild ,如下图所示:

