目录
- 题目
- 核心思路的不断细化
- 1、核心框架
- 2、考虑到每个位置的工作
- 3、考虑到到达最后一列、该位置的数已经预置的情况
- 4、判断是否符合规则的函数
- 5、确定递归终止条件+确定函数返回值
- AC代码
题目
编写一个程序,通过填充空格来解决数独问题。
一个数独的解法需遵循如下规则:
1、数字 1-9 在每一行只能出现一次。
2、数字 1-9 在每一列只能出现一次。
3、数字 1-9 在每一个以粗实线分隔的 3x3 宫内只能出现一次。
空白格用 ‘.’ 表示。
一个数独。 | 答案被标成红色。 |
给定的数独序列只包含数字 1-9 和字符 ‘.’ 。
你可以假设给定的数独只有唯一解。
给定数独永远是 9x9 形式的。
核心思路的不断细化
算法的核心思路就是对每一个空着的格子穷举 1 到 9,如果遇到不合法的数字(在同一行或同一列或同一个 3×3 的区域中存在相同的数字)则跳过,如果找到一个合法的数字,则继续穷举下一个空格子。
写出核心框架:
1、核心框架
void solveSudoku(vector<vector<char>>& board) {backtrack(board, 0, 0);
}void backtrack(vector<vector<char>>& board, int hang, int lie) {// 就是对棋盘的每个位置进行穷举for (int i = hang; i < 9; i++) {for (int j = lie; j < 9; j++) {// 做选择backtrack(board, i, j);// 撤销选择}}
}
2、考虑到每个位置的工作
对于每个位置有1~9的选择,这样就变成了3重嵌套循环。
void backtrack(vector<vector<char>>& board, int hang, int lie) {// 就是对每个位置进行穷举for (int i = hang; i < 9; i++) {for (int j = lie; j < 9; j++) {for (char ch = '1'; ch <= '9'; ch++) {// 做选择board[i][j] = ch;// 继续穷举下一列,backtrack(board, i, j + 1);// 撤销选择board[i][j] = '.';}}}
}
3、考虑到到达最后一列、该位置的数已经预置的情况
1、当lie到达超过最后一个索引时,转为增加hang开始穷举下一行。
2、如果当前位置元素不为“.”,那么跳过即可。
3、穷举的时候如果遇到符合规则的数字,填入,否则跳过。
void backtrack(vector<vector<char>>& board, int hang, int lie) {if(lie==9){backtrack(board, hang+1, 0);}// 就是对每个位置进行穷举for (int i = hang; i < 9; i++) {for (int j = lie; j < 9; j++) {// 如果该位置是预设的数字,不用我们操心if (board[i][j] != '.') {backtrack(board, i, j + 1);return;} //如果不是预置的数字for (char ch = '1'; ch <= '9'; ch++) {// 如果遇到符合规则的数字,填入if (isValid(board, i, j, ch)){// 做选择board[i][j] = ch;// 继续穷举下一列,backtrack(board, i, j + 1);// 撤销选择board[i][j] = '.';}}}}
}
4、判断是否符合规则的函数
规则如下:
1、数字 1-9 在每一行只能出现一次。
2、数字 1-9 在每一列只能出现一次。
3、数字 1-9 在每一个以粗实线分隔的 3x3 宫内只能出现一次。
翻译成函数:
注意这里对第3个规则的描述:
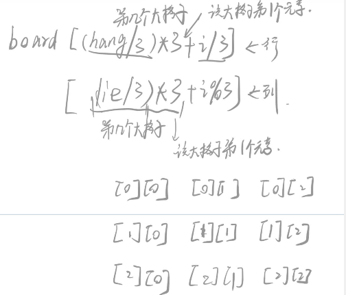
// 判断 board[i][j] 是否可以填入 n
bool isValid(vector<vector<char>>& board, int hang, int lie, char n) {for (int i = 0; i < 9; i++) {// 判断行是否存在重复if (board[hang][i] == n) return false;// 判断列是否存在重复if (board[i][lie] == n) return false;// 判断 3 x 3 方框是否存在重复if (board[(hang/3)*3 + i/3][(lie/3)*3 + i%3] == n)return false;}return true;
}
下面是这个式子的含义,并且将i=0~8模拟了一下:

5、确定递归终止条件+确定函数返回值
如果递归完最后一行,那么我们就可以返回我们的结果了。
如果找到一个解我们的任务就结束了,本题并没有要求找到所有解。
如果一个位置遍历完所有数字,都不符合,这说明此路不通,应该及时返回false。
如果每个位置都遍历过了,结果都没有返回true,说明,这个数独棋盘没有解,返回false。
所以使用bool类型的值作为返回值:
if(hang == 9) return true;
完整的回溯函数代码应该如下:
bool backtrack(vector<vector<char>>& board, int hang, int lie) {//遍历完这一行最后一列,转而遍历下一行if(lie==9){return backtrack(board, hang+1, 0);}//找到一个解,返回if(hang == 9) return true;// 就是对每个位置进行穷举for (int i = hang; i < 9; i++) {for (int j = lie; j < 9; j++) {// 如果该位置是预设的数字,不用我们操心if (board[i][j] != '.') {return backtrack(board, i, j + 1);} //如果不是预置的数字for (char ch = '1'; ch <= '9'; ch++) {// 如果遇到符合规则的数字,填入if (isValid(board, i, j, ch)){// 做选择board[i][j] = ch;// 继续穷举下一列,如果找到了一个解,立即结束if(backtrack(board, i, j + 1) == true) return true;// 撤销选择board[i][j] = '.';}}// 穷举完 1~9,依然没有找到可行解,此路不通return false;}}return false;
}
AC代码
class Solution {
public:// 判断 board[i][j] 是否可以填入 nbool isValid(vector<vector<char>>& board, int hang, int lie, char n) {for (int i = 0; i < 9; i++) {// 判断行是否存在重复if (board[hang][i] == n) return false;// 判断列是否存在重复if (board[i][lie] == n) return false;// 判断 3 x 3 方框是否存在重复if (board[(hang/3)*3 + i/3][(lie/3)*3 + i%3] == n)return false;}return true;}bool backtrack(vector<vector<char>>& board, int hang, int lie) {//遍历完这一行最后一列,转而遍历下一行if(lie==9){return backtrack(board, hang+1, 0);}//找到一个解,返回if(hang == 9) return true;// 就是对每个位置进行穷举for (int i = hang; i < 9; i++) {for (int j = lie; j < 9; j++) {// 如果该位置是预设的数字,不用我们操心if (board[i][j] != '.') {return backtrack(board, i, j + 1);} //如果不是预置的数字for (char ch = '1'; ch <= '9'; ch++) {// 如果遇到符合规则的数字,填入if (isValid(board, i, j, ch)){// 做选择board[i][j] = ch;// 继续穷举下一列,如果找到了一个解,立即结束if(backtrack(board, i, j + 1) == true) return true;// 撤销选择board[i][j] = '.';}}// 穷举完 1~9,依然没有找到可行解,此路不通return false;}}return false;}void solveSudoku(vector<vector<char>>& board) {backtrack(board, 0, 0);return;}
};
一个数独。
答案被标成红色。