文章目录
- 平衡二叉树的构造过程
- 1 算法描述
- 平衡二叉树的编程
- 1 树上结点的高度计算
- 2 LL调整函数
- 3 RR调整函数
- 4 LR调整函数
- 5 RL调整函数
- 6 根据结点的值、动态构造平衡二叉树
平衡二叉树的构造过程
对一个查找问题而言,查找表的存储结构、应该组织成二叉树结构。而把一个离散的数据、组织成最接近满二叉排序树的方法,最常见的就是平衡二叉树。
对平衡二叉树而言,有四种调整方式,就是LL、LR、RR、RL四种方式。
1 算法描述
(1) LL调整
对图1而言,如插入10,就是下面的过程:

插入的结果就是:如40为根,则左子树高、减去右子树、高度差是2。在这种情况下,需要调整,调整的结果就是:注意K1、K2结点的变化。

(2) RR调整
对下面的树而言,插入80则发生RR调整:

对上述二叉树、进行调整就是下图的过程:注意K1、K2结点的变化。

(3) LR调整
对以下的图,如果插入35,则要进行LR调整:

注意下面K3的变化:

.
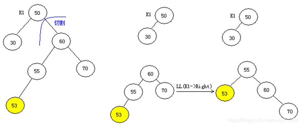
(4) RL调整
在以下的树上,如果要插入53,则要进行的调整就是RL调整,注意过程:

此时要调整的过程、类似LR调整,过程如下:注意K1的变化。


平衡二叉树的四种调整介绍完毕,你能就任意一组数据、完成构造平衡二叉树的过程么?
平衡二叉树的编程
1 树上结点的高度计算
从前面的平衡二叉树的构造过程可知:对平衡二叉树,最关键的问题是结点的高度计算问题,如果每个结点的高度有了,则左右子树的高度差也就可以计算了。
我们从二叉排序树的结构中补充一个字段:Height,同时修改结构名称为AvlNode,目的就是构造平衡二叉树。
struct AvlNode{int Element;struct AvlNode *Left;struct AvlNode *Right;int Height;};
我们定义:当前结点的高度、是取左右孩子高度最大值再加1,所以对一下的结点,有:

注意这个高度编法,它是从树的叶结点开始的,这样的高度计算方法和从树根编下来有差异,但计算左右树高度差都是一样的。之所以这么编高度,是因为编程中确定叶结点高度为0非常简单。
struct AvlNode *Insert(int X, struct AvlNode *T)
{if(T==NULL){T =(struct AvlNode *)malloc(sizeof(struct AvlNode));if(T==NULL) {printf("内存不足\n");exit(0);}T->Element=X; T->Left=T->Right= NULL;T->Height=0;}if(X<T->Element) T->Left=Insert(X,T->Left);if(X>T->Element) T->Right=Insert(X,T->Right);T->Height=Max(Height(T->Left), Height(T->Right))+1;
return T;
}
在表1的第7行,我们新构造的每个结点高度都是0;
在表1的第11行,当前结点T的高度是T的左、右孩子结点高度最大者加1,这样构造的树、其每个结点的高度就如同表9。
能插入结点值为X并构造二叉排序树的程序见AvlTree0.c,它能给每个结点计算高度,当然,这个程序还不能构造平衡二叉树,它依然构造的是二叉排序树。但我们知道:平衡二叉树是二叉排序树的一种特殊情况。我们就要根据这个程序,不断修改出一个能构造平衡二叉树的程序。
2 LL调整函数
LL调整函数的过程见图1、图2,首先我们给这个树从叶结点开始编高度,其高度数据就是:

为测试方便,我们先编写main()函数、构造图1这样的二叉排序树,然后再编LL调整函数,所以main()就是:
main( )
{struct AvlNode *T;struct AvlNode BT[6];/* 构造图1的二叉排序树 */BT[0].Element=40;BT[0].Left=&BT[1];BT[0].Right=&BT[2];BT[0].Height=3;BT[1].Element=30;BT[1].Left=&BT[3];BT[1].Right=&BT[4];BT[1].Height=2;BT[2].Element=50;BT[2].Left=NULL; BT[2].Right=NULL;BT[2].Height=0; BT[3].Element=20;BT[3].Left=&BT[5];BT[3].Right=NULL;BT[3].Height=1; BT[4].Element=35;BT[4].Left=NULL; BT[4].Right=NULL;BT[4].Height=0; BT[5].Element=10;BT[5].Left=NULL; BT[5].Right=NULL;BT[5].Height=0; T=LL(BT);jConvert(T);printf("\n");
}
有这个二叉树后再次回顾图2,所谓LL调整就是:
如树的根为K2,则:
K1为K2的左孩子;
K2的左孩子赋值为K1的右孩子;(35给40当左孩子)
K1的右孩子赋值为K2;(40是35的右孩子)
调整K2的高度;
调整K1的高度;
返回K1为根的树;
用C语言写出来就是:
struct AvlNode *LL(struct AvlNode *K2)
{
struct AvlNode *K1;
K1 = K2->Left;
K2->Left = K1->Right;
K1->Right = K2;
//注意各个结点高度计算
K2->Height = Max(Height(K2->Left), Height(K2->Right))+1;
K1->Height = Max( Height(K1->Left), K2->Height)+1;
return K1;
}
全部代码见LL.C,以下结果看看是否合理。
ID PID Value Height
0 -1 30 2
1 0 20 1
2 1 10 0
3 0 40 1
4 3 35 0
5 3 50 0
一定尝试着用遍历的结果来反推这个树的形态。
3 RR调整函数
RR调整和LL调整是对称操作,看着图4,所以是:
如K1是根结点;
K2是K1的右孩子;
把K2的左孩子赋值给K1当右孩子(53成为50的右孩子);
K1成为K2的左孩子(50成为60的左孩子);
重新计算K1的高度;
重新计算K2的高度;
返回K2为根的二叉树;
所以程序见下表:
struct AvlNode * RR(struct AvlNode *K1)
{
struct AvlNode *K2;
K2 = K1->Right;
K1->Right = K2->Left;
K2->Left = K1;K1->Height = Max(Height(K1->Left), Height(K1->Right))+1;
K2->Height = Max(Height(K2->Right), K1->Height)+1;
return K2;
}
对照表4,可知和LL调整是完全向对应、但方向相反。
下面是测试图4中RR调整的二叉树数据和main()程序
main( )
{struct AvlNode *T;struct AvlNode BT[6];/* 下面这组数据是测试RR平衡的 */BT[0].Element=50;BT[0].Left=&BT[1];BT[0].Right=&BT[2];BT[0].Height=3; BT[1].Element=40;BT[1].Left=NULL; BT[1].Right=NULL; BT[1].Height=0; BT[2].Element=60;BT[2].Left=&BT[3];BT[2].Right=&BT[4];BT[2].Height=2; BT[3].Element=53;BT[3].Left=NULL; BT[3].Right=NULL; BT[3].Height=0; BT[4].Element=70;BT[4].Left=NULL; BT[4].Right=&BT[5];BT[4].Height=1; BT[5].Element=80;BT[5].Left=NULL; BT[5].Right=NULL;BT[5].Height=0; T=RR(BT);jConvert(T);printf("\n");
}
这个程序的结果见下表:

仔细分析以下这些结点的关系,尝试着用遍历的方法反推这个树的形态。
4 LR调整函数
从图6的过程可以看到:
所谓LR调整、如K3为根的话,则K3的左孩子先进行RR调整,然后,整个树再以K3为根做LL调整。
完成这样的调整、写成程序会非常简单,就是:
struct AvlNode *LR(struct AvlNode *K3)
{K3->Left = RR(K3->Left);return LL(K3);
}
每个调整过程都会自己调整结点高度,所以整个LR调整中不需要再次调整结点高度。
5 RL调整函数
从图8的过程可知:
如树的根结点是K1,则首先K1的右孩子进行LL调整,调整后的结果,再按K1为根进行RR调整。
所以整个RL的调整编程就是:
struct AvlNode *RL(struct AvlNode *K1)
{
K1->Right=LL(K1->Right);
return RR(K1);
}
LR.C、LR.C两个函数的具体执行情况见相关程序。各个程序的结果请同学们自己分析。这样,我们就完成了平衡二叉树的结点高度定义、以及四种调整方法的函数,有了这些基础,我们再次修改Insert()函数就有基础了。
6 根据结点的值、动态构造平衡二叉树
回顾表1,这个函数仅仅能构造二叉排序树,经过修改,目前能对插入的结点计算出高度来,我们要不断修改这个函数,让它能构造平衡二叉树。
首先,当插入X后,要构造出二叉排序树,其次要立刻判断这个结点的高度差,在表1中,在当前结点T上插入结点(以插入左子树左孩子为例)后,就是:
if(X<T->Element) T->Left=Insert(X,T->Left);
但现在,首先要计算T的左右孩子高度差,如果高度差是2,则再次判断X是否小于T的左孩子,如是,则必然为LL调整,否则为LR调整,就是:
if(X<T->Element)
{T->Left = Insert(X,T->Left);if(Height(T->Left)-Height(T->Right)==2)if(X<T->Left->Element)T=LL(T);elseT=LR(T);
}
注意上面的过程,是在X插入到当前结点T的左孩子的情况,此时,还有两种可能,在第5行的判断就是:插入到T的左孩子左子树,则做LL调整,如是在左孩子右子树,则做LR调整。同理可以编写出插入到右子树的情况,整个平衡二叉树的构造函数就是:
struct AvlNode *Insert(int X, struct AvlNode *T)
{
if(T==NULL){T =(struct AvlNode *)malloc(sizeof(struct AvlNode));if(T==NULL) {printf("内存不够,程序退出" );exit (0);}T->Element=X; T->Height=0;T->Left=T->Right= NULL;}if(X<T->Element){T->Left = Insert(X,T->Left);if(Height(T->Left)-Height(T->Right)==2)if(X<T->Left->Element)T=LL(T);elseT=LR(T);}if(X>T->Element){T->Right = Insert(X,T->Right);if(Height(T->Right)-Height(T->Left)== 2)if(X>T->Right->Element )T=RR(T);elseT=RL(T);}
T->Height=Max(Height(T->Left), Height(T->Right))+1;
return (T);
}
有这个函数后,我们可以编写个main()函数,测试这个函数是否正确,整个程序见AvlTree.c,这个程序用遍历的方法给出树的形态,注意自己再反推回去。